MINISTERIO DE ECONOMÍA

SECRETARÍA DE ENERGÍA

Resolución 177/2025

RESOL-2025-177-APN-SE#MEC

Ciudad de Buenos Aires, 29/04/2025

VISTO el Expediente N° EX-2022-121260361-APN-SE#MEC, y

CONSIDERANDO:

Que la Ley N° 24.065 tiene como objetivo asegurar el suministro de energía eléctrica de largo plazo, incentivar el abastecimiento y uso eficiente de la electricidad fijando metodologías tarifarias apropiadas para garantizar el abastecimiento eléctrico en condiciones de seguridad al mínimo costo posible para el Sistema Eléctrico Argentino y para los usuarios finales en particular.

Que los sistemas de remuneración establecidos en el MERCADO ELÉCTRICO MAYORISTA (MEM) propenden a asegurar la suficiencia y calidad del abastecimiento en las condiciones definidas en la Ley Nº 24.065, al mínimo costo posible para el Sistema Eléctrico Argentino.

Que el Artículo 1° del Decreto Nº 55 de fecha 16 de diciembre de 2023 declaró, hasta el 31 de diciembre de 2024, la emergencia del Sector Energético Nacional en lo que respecta a los segmentos de generación, transporte y distribución de energía eléctrica bajo jurisdicción federal y fue prorrogada por el Decreto N° 1023 del 19 de noviembre de 2024 hasta el 9 de julio de 2025.

Que por el Artículo 2º del Decreto N° 55/23 mencionado en el considerando precedente se instruye a la SECRETARÍA DE ENERGÍA del MINISTERIO DE ECONOMÍA a elaborar, poner en vigencia e implementar un programa de acciones necesarias e indispensables con relación al segmento de generación con el fin de establecer los mecanismos para la sanción de precios en condiciones de competencia y libre acceso; y mantener en términos reales los niveles de ingresos y cubrir las necesidades de inversión.

Que el Artículo 1° del Decreto Nº 70 de fecha 20 de diciembre de 2023 declaró la emergencia pública en materia económica, financiera, fiscal, administrativa, previsional, tarifaria, sanitaria y social hasta el 31 de diciembre de 2025.

Que entre los objetivos correspondientes al sector de generación se encuentra la redefinición del desempeño normal del MERCADO MAYORISTA ELÉCTRICO (MEM) en el que la oferta y la demanda realicen transacciones, al amparo de reglas que establezcan un funcionamiento autónomo, competitivo y sustentable desde el punto de vista económico.

Que como parte de las medidas a adoptar es necesario orientar los mecanismos regulatorios, que permitan gradualmente ordenar el Sector Eléctrico Nacional con los principios rectores contenidos en las Leyes Nros.15.336 y 24.065 que integran el Marco Regulatorio Eléctrico, hacia mecanismos de eficiencia en el costo de generación y su remuneración asociada respecto de la energía y potencia no comprometida en contratos, promoviendo un régimen de mayor libertad y competencia en el MEM.

Que el sistema de remuneración que se actualiza por la presente, será de aplicación excepcional y hasta tanto se definan e implementen gradualmente los mecanismos regulatorios orientados a lograr un funcionamiento autónomo, competitivo y sustentable que permita la libre contratación entre la oferta y demanda, y un funcionamiento técnico, económico y operativo que posibilite la integración de las diferentes tecnologías de generación para asegurar un sistema confiable y de mínimo costo.

Que hasta tanto se fijen tales reglas, se procede con carácter provisorio y excepcional a la adecuación de los conceptos remunerados, cuya determinación fue encomendada a esta Secretaría y cuyos valores fueron previamente actualizados mediante la Resolución N° 143 de fecha 1° de abril de 2025 de la SECRETARÍA DE ENERGÍA del MINISTERIO DE ECONOMÍA.

Que mediante la Nota N° NO-2025-44507112-APN-MEC de fecha 28 de abril de 2025 del MINISTERIO DE ECONOMÍA, se instruyó a esta Secretaría a llevar adelante las acciones necesarias para ajustar los precios y tarifas del sector energético, entre ellos la remuneración de la generación de energía eléctrica no contractualizada.

Que, a fin de asegurar la confiabilidad y sustentabilidad del MEM y del MERCADO ELÉCTRICO MAYORISTA DEL SISTEMA TIERRA DEL FUEGO (MEMSTDF), resulta necesario actualizar dichas remuneraciones, a condiciones económicamente razonables y eficientes, con vigencia a partir de las transacciones económicas correspondientes al mes de mayo de 2025.

Que, en el marco de la finalización de los contratos de concesión celebrados para la prestación de la actividad de generación de energía eléctrica en los Complejos Hidroeléctricos ALICURÁ, EL CHOCÓN-ARROYITO, CERROS COLORADOS y PIEDRA DEL ÁGUILA, es intención del ESTADO NACIONAL volver a licitar las concesiones bajo un proceso competitivo nacional e internacional en cabeza de las sociedades creadas al efecto.

Que, en tal sentido, a través del Decreto N° 718 de fecha 9 de agosto de 2024 se dispuso, que la SECRETARÍA DE ENERGÍA del MINISTERIO DE ECONOMÍA llamará a Concurso Público Nacional e Internacional, con el fin de proceder a la venta del paquete accionario mayoritario o controlante de cada una de sociedades creadas al efecto.

Que el Artículo 4, Inciso c) estableció que los cambios que se produzcan en el esquema remuneratorio como consecuencia de las medidas que se adopten para normalizar el MEM no podrán ser invocados como incumplimientos del ESTADO NACIONAL. Asimismo, las normas que se dicten a tal efecto no podrán perjudicar la remuneración actual de la concesionaria.

Que en la misma línea, la referida Nota N° NO-2025-44507112-APN-MEC dispuso que la remuneración correspondiente a la generación de energía eléctrica no contractualizada deberá ajustarse en un DOS POR CIENTO (2%), con excepción de la remuneración correspondiente a los Complejos Hidroeléctricos ALICURÁ, EL CHOCÓN-ARROYITO, CERROS COLORADOS y PIEDRA DEL ÁGUILA, en virtud del proceso de licitación de las concesiones para la prestación de la actividad de generación de energía eléctrica, conforme las disposiciones del Decreto N° 718/2024, para los cuales se mantendrá vigente la remuneración establecida en el Anexo III (IF-2025-21734050-APN-DNRYDSE#MEC) de la Resolución N° 113 de fecha 28 de febrero de 2025 de la SECRETARÍA DE ENERGÍA del MINISTERIO DE ECONOMÍA.

Que, en virtud del referido proceso, para el caso de los complejos hidroeléctricos previamente mencionados, corresponde mantener vigente la remuneración establecida en el Anexo III (IF-2025-21734050-APN-DNRYDSE#MEC) de la Resolución N° 113/2025 de la SECRETARÍA DE ENERGÍA.

Que resulta oportuno y necesario adecuar el Precio Spot máximo en el MEM, que fue establecido en el Artículo 4° de la Resolución N° 143/2025 de la SECRETARÍA DE ENERGÍA.

Que la Dirección Nacional de Regulación y Desarrollo del Sector Eléctrico de la SUBSECRETARÍA DE ENERGÍA ELÉCTRICA de esta Secretaría ha tomado la intervención de su competencia.

Que el servicio jurídico permanente del MINISTERIO DE ECONOMÍA ha tomado la intervención que le compete.

Que la presente medida se dicta en ejercicio de las facultades conferidas por la Ley N° 15.336, los Artículos 35 y 36 de la Ley Nº 24.065, los Decretos Nros. 55/23, 70/23 y 1023/24, la Resolución Nº 61 de fecha 29 de abril de 1992 de la ex SECRETARÍA DE ENERGÍA ELÉCTRICA y sus modificatorias y complementarias, y el Apartado IX del Anexo II al Decreto N° 50 de fecha 19 de diciembre de 2019 y sus modificatorios.

Por ello,

LA SECRETARIA DE ENERGÍA

RESUELVE:

ARTÍCULO 1°.- Sustitúyense los Anexos I, II, III, IV y V de la Resolución N° 143 de fecha 1° de abril de 2025 de la SECRETARÍA DE ENERGÍA del MINISTERIO DE ECONOMÍA, por los correspondientes a los establecidos en los Anexos I (IF-2025-44735022-APN-DNRYDSE#MEC), II (IF-2025-44739959-APN-DNRYDSE#MEC), III (IF-2025-44747586-APN-DNRYDSE#MEC), IV (IF-2025-44757813-APN-DNRYDSE#MEC) y V (IF-2025-44762887-APN-DNRYDSE#MEC) respectivamente, que forman parte integrante de la presente resolución.

ARTÍCULO 2°.- Establécese que para los Complejos Hidroeléctricos ALICURÁ, EL CHOCÓN-ARROYITO, CERROS COLORADOS y PIEDRA DEL ÁGUILA, indicados en el Decreto N° 718 de fecha 9 de agosto de 2024, en virtud del proceso de licitación de las concesiones para la prestación de la actividad de generación de energía eléctrica, se mantendrá vigente la remuneración establecida en el Anexo III (IF-2025-21734050-APN-DNRYDSE#MEC) de la Resolución N° 113 de fecha 28 de febrero de 2025 de la SECRETARÍA DE ENERGÍA del MINISTERIO DE ECONOMÍA, de conformidad con lo dispuesto en la Nota N° NO-2025-44507112-APN-MEC del MINISTERIO DE ECONOMÍA.

ARTÍCULO 3°.- Facúltase a la SUBSECRETARÍA DE ENERGÍA ELÉCTRICA de esta Secretaría a dictar normas complementarias o aclaratorias que se requieran para la instrumentación de la presente resolución.

ARTÍCULO 4°.- Establécese que, a partir del 1° de mayo de 2025 y a todos los efectos previstos en el Punto 5 del Anexo I de la Resolución N° 8 de fecha 5 de abril de 2002 de la SECRETARÍA DE ENERGÍA del ex MINISTERIO DE INFRAESTRUCTURA Y VIVIENDA y en el Punto 2 del Artículo 1° de la Resolución N° 240 de fecha 14 de agosto de 2003 de la SECRETARÍA DE ENERGÍA del ex MINISTERIO DE PLANIFICACIÓN FEDERAL, INVERSIÓN PÚBLICA Y SERVICIOS, el Precio Spot máximo para la sanción de los Precios del Mercado (PM) en el MERCADO ELÉCTRICO MAYORISTA (MEM) será de PESOS TRECE MIL CIENTO TRES POR MEGAVATIO HORA (13.103 $/MWh).

ARTÍCULO 5°.- La presente medida entrará en vigencia y será de aplicación a partir de las transacciones económicas correspondientes a mayo de 2025.

ARTÍCULO 6°.- Notifíquese a COMPAÑÍA ADMINISTRADORA DEL MERCADO MAYORISTA ELÉCTRICO SOCIEDAD ANÓNIMA (CAMMESA) y a los Agentes Generadores del MERCADO ELÉCTRICO MAYORISTA (MEM) y del MERCADO ELÉCTRICO MAYORISTA DEL SISTEMA TIERRA DEL FUEGO (MEMSTDF).

ARTÍCULO 7°.- Comuníquese, publíquese, dese a la DIRECCIÓN NACIONAL DEL REGISTRO OFICIAL y archívese.

María Carmen Tettamanti

NOTA: El/los Anexo/s que integra/n este(a) Resolución se publican en la edición web del BORA -www.boletinoficial.gob.ar-

e. 30/04/2025 N° 28006/25 v. 30/04/2025

(Nota Infoleg: Los anexos referenciados en la presente norma han sido extraídos de la edición web de Boletín Oficial)

ANEXO I

En el presente ANEXO se indican los valores particulares a aplicar para determinar la remuneración de la generación térmica del MEMSTDF.

1. PRECIO BASE DE LA POTENCIA
Se define al Precio Base para remunerar la Potencia a los valores consignados para cada tecnología y escala (PrecBasePot) de la tabla siguiente:

A partir de la transacción económica de mayo de 2025

Tecnología TG chica P ≤ 50MW
.


2. PRECIO PARA LA POTENCIA GARANTIZADA OFRECIDA DIGO

Para el MEMSTDF no aplica el concepto de Potencia Garantizada DIGO, debiendo considerar que su valor PrecPotDIGO es de 0 $/MWmes.

3. REMUNERACIÓN POR GENERACIÓN EN HORAS DE PUNTA

Para el MEMSTDF no aplica el concepto de Remuneración por Generación en horas de Punta.

IF-2025-44735022-APN-DNRYDSE#MEC




ANEXO II

REMUNERACIÓN DE LA GENERACIÓN HABILITADA TÉRMICA

1. REMUNERACIÓN GENERACIÓN TÉRMICA

La remuneración a los Generadores Habilitados Térmicos (GHT) se compone de pagos por potencia disponible mensual, por energía generada, por energía operada y por energía generada en las horas de punta.

Se define por generadores habilitados a todos aquellos que no poseen contratos en el Mercado a Término en cualquiera de sus modalidades.

La remuneración de la disponibilidad de potencia está asociada a la Disponibilidad Real de Potencia (DRP).

La remuneración por energía se define como la suma de tres componentes: uno en función de la Energía Generada, otro vinculado a la Energía Operada (asociada a la potencia Rotante en cada hora) y otro por la energía efectivamente generada en las horas de punta.

El volumen horario de la Energía Operada deberá corresponderse con el despacho óptimo para el cumplimiento de la energía y reservas asignadas. La remuneración por energía del generador se define en su nodo.

2. PRECIO BASE DE LA POTENCIA

Se define al Precio Base para remunerar la Potencia a los valores consignados para cada tecnología y escala (PrecBasePot) de la tabla siguiente:

A partir de la transacción económica de mayo de 2025


La remuneración resultante será el valor base por disponibilidad de potencia a aplicar para aquellos generadores que no declaren Disponibilidad Garantizada Ofrecida (DIGO).

3. PRECIO PARA LA POTENCIA GARANTIZADA OFRECIDA DIGO

Para cada mes definido en el Punto 2 del Anexo I que forma parte integrante de la Resolución SE N° 31/2020, para el conjunto de los generadores habilitados se reconocerá un Precio Potencia Garantizada (PrecPotDIGO) para la remuneración de la Potencia Disponible como:

A partir de la transacción económica de mayo de 2025



A los efectos de considerar las necesidades y costos asociados a la gestión y mantenimiento de los Ciclos Combinados chicos (< 150 MW) se deberá aplicar, al valor establecido, un factor de 1,2.

4. REMUNERACIÓN POR DISPONIBILIDAD DE POTENCIA

4.1. Disponibilidad Real de Potencia (DRP)

La Disponibilidad Real de Potencia (DRP) es la disponibilidad media mensual correspondiente al mes "m" de cada máquina generadora "g" que no se encuentre bajo Mantenimientos Programados y Acordados y que se calculará para los Generadores Habilitados Térmicos (GHT) tomando los valores horarios registrados en dicho mes. La aplicación en los cálculos para el mes "m" se realiza tomando los valores registrados en ese mes.

4.2. Remuneración de la Disponibilidad de Potencia

La remuneración mensual de potencia de un Generador Habilitado Térmico será proporcional a la disponibilidad mensual y a un precio que variará estacionalmente. El valor físico a utilizar es la potencia media mensual, descontando las horas correspondientes a los Mantenimientos Programados y Acordados. Las indisponibilidades de potencia a considerar en la determinación de la potencia media disponible, serán las que sean de responsabilidad propia de la gestión del Agente Generador.

La indisponibilidad de la DIGO de una unidad generadora, derivada de cualquier falla propia o por imposibilidad de consumir el combustible asignado en el despacho económico, que origine su indisponibilidad para el despacho económico, es responsabilidad del Generador Habilitado Térmico y será tratada como una indisponibilidad forzada.

4.3. Remuneración de la Potencia Disponible para los generadores que NO declaren DIGO

La remuneración en PESOS ARGENTINOS se obtiene con la Disponibilidad Real de Potencia (DRP) del mes valorizada al precio PrecBasePot [$/MW-mes] (definido en el punto 2 de este ANEXO). La disponibilidad se determina descontando la potencia indisponible Forzada y por Mantenimientos Programados o Acordados.

REM BASE [$/mes] = PrecBasePot * DRP [MW] * kFM

Siendo:

kFM = horas del mes fuera mantenimiento acordado/horas del mes.

4.4. Remuneración de la Disponibilidad de Potencia Garantizada Ofrecida para los Generadores Habilitados Térmicos que SI declaren DIGO

La remuneración de la Disponibilidad de Potencia Garantizada Ofrecida (DIGO), es la remuneración de la potencia disponible de la correspondiente unidad, que se valoriza con el precio PrecPotDIGO [$/MW-mes] (definido en el punto 3 de este ANEXO) de acuerdo a lo establecido a continuación.

REM DIGO [$/mes] =

DRP [MW] * kFM* PrecPotDIGO

Siendo:

kFM = horas del mes fuera mantenimiento acordado/horas del mes.

4.5. Remuneración Total de la Disponibilidad de Potencia para Generadores Habilitados Térmicos que No declaren DIGO

La remuneración total de la disponibilidad de la potencia se calculará, para los generadores habilitados térmicos que NO declaren DIGO, exclusivamente por lo indicado en el punto 4.3 de este Anexo:

REM TOTgm ($/mes) = REM BASE

4.6. Remuneración Total de la Disponibilidad de Potencia para Generadores Habilitados Térmicos que SI declaren DIGO

La remuneración total de la disponibilidad de la potencia para los generadores que declaren DIGO se configura como la suma de las remuneraciones resultantes de los numerales, según corresponda, 4.4. de este Anexo:

REM TOTgm ($/mes) = REM DIGO

5. REMUNERACIÓN POR ENERGÍA GENERADA Y OPERADA

La Remuneración por Energía se compone de dos conceptos: Energía Generada y Energía Operada que se adicionan y remuneran como se indica más abajo.

La Remuneración por energía del Generador se define en su nodo.

5.1. Remuneración Energía Generada

Para la generación de origen térmico convencional, se reconocerá como máximo, por tipo de combustible consumido por la unidad generadora "g", los costos variables no combustibles [CostoOYMxComb] indicados en la siguiente tabla por la energía entregada en cada hora:

A partir de la transacción económica de mayo de 2025


En las horas donde la unidad de generación se encuentre despachada fuera del despacho óptimo por razones operativas no atribuibles a generación forzada por requerimientos de transporte, de control de tensión o de seguridad, se reconocerá como remuneración por energía generada considerando a esta igual al 60% de la potencia neta instalada, independientemente de la energía entregada por la unidad de generación.

5.2. Remuneración Energía Operada

A partir de la transacción económica de mayo de 2025

Los generadores recibirán una remuneración mensual por la Energía Operada, representada por la integración de las potencias horarias en el período, valorizada a 1.566 $/MWh para cualquier tipo de combustible.

El volumen horario de la Energía Operada deberá corresponderse con el despacho óptimo para el cumplimiento de la energía y reservas asignadas.

Cuando la unidad de generación se encuentre despachada fuera del despacho óptimo por razones operativas no atribuibles a generación forzada por requerimientos de transporte, de control de tensión o de seguridad, se reconocerá como remuneración por energía operada considerando a esta igual al 60% de la potencia neta instalada, independientemente de la energía entregada por la unidad de generación, más la potencia rotante calculada como la diferencia entre la potencia neta instalada disponible y la energía generada.

6. REMUNERACIÓN POR GENERACION EN HORAS DE PUNTA

Para la generación de origen térmico, se reconocerá una remuneración equivalente a 2 veces el valor correspondiente al precio vigente por costo variable no combustible [CostoOYMxComb] para el tipo de combustible despachado a ser aplicado en las cinco horas de pico (18.00 hs a 23.00 hs) de todos los días de los meses de diciembre, enero, febrero, junio, julio y agosto y a 1 vez el valor correspondiente al precio vigente por costo variable no combustible [CostoOYMxComb] para el tipo de combustible despachado a ser aplicado en las cinco horas de pico (18.00 hs a 23.00 hs) de todos los días de los meses de marzo, abril, mayo, septiembre, octubre y noviembre.

IF-2025 -4473 995 9-APN-DNRYDSE#MEC



ANEXO III

REMUNERACIÓN DE LA GENERACIÓN HABILITADA HIDROELÉCTRICA Y A PARTIR DE OTRAS

FUENTES DE ENERGÍA

1. REMUNERACIÓN GENERACIÓN HIDROELÉCTRICA

La remuneración a los Generadores Habilitados Hidráulicos (GHH) se compone de pagos por potencia disponible mensual, por energía generada, por energía operada y por energía generada en las horas de punta.

Se define como Generadores Habilitados Hidráulicos (GHH) a todos aquellos Generadores Hidroeléctricos que no tienen comprometidos su disponibilidad de potencia y energía generada en contratos en el MEM, en cualquiera de las modalidades habilitadas por la Autoridad Regulatoria correspondiente y que se encuentren vigentes.

La remuneración de la disponibilidad de potencia se asocia a la Disponibilidad Real de Potencia (DRP), afectada por un Precio Base de Potencia (PrecBasePot) establecido para las centrales hidroeléctricas en función de su potencia instalada.

La remuneración por energía se define como la suma de tres componentes: uno, en función de la Energía Generada, otro, vinculado a la Energía Operada (asociada a la potencia Rotante en cada hora), y otro, por la energía efectivamente generada en las horas de punta.

El volumen horario de la Energía Operada deberá corresponderse con el despacho óptimo para el cumplimiento de la energía y reservas asignadas. La remuneración por energía del generador Habilitado Hidráulico se define en su nodo.

2. PRECIO BASE DE LA DISPONIBILIDAD DE LA POTENCIA HIDRÁULICA PARA LOS GHH

Se define el Precio Base de la Potencia para los generadores habilitados hidráulicos (PrecBasePot), según su potencia instalada y conforme sus características básicas, de acuerdo a lo que se establece en el cuadro siguiente:

A partir de la transacción económica de mayo de 2025


En el caso de las centrales hidroeléctricas [HI] que tengan a su cargo la operación y mantenimiento de estructuras de control en el curso del río, como derivadores o embalses compensadores y que no tengan una central hidroeléctrica asociada, se debe aplicar, para la remuneración de la potencia de la central de cabecera, un coeficiente de mayoración de 1,20.

A los efectos de considerar la incidencia de los Mantenimientos Programados de Centrales Hidroeléctricas en la remuneración de los cargos fijos y mantener la señal de optimización de los mismos, se deberá aplicar al valor reconocido un factor de 1,05, en base a su incidencia standard típica mínima.

3. REMUNERACIÓN POR DISPONIBILIDAD DE POTENCIA

3.1. Disponibilidad Real de Potencia (DRP)

La Disponibilidad Real de Potencia (DRP) es la disponibilidad media mensual correspondiente al mes "m" de cada máquina generadora "g" que no se encuentre bajo Mantenimientos Programados y Acordados y que se calculará para los Generadores Habilitados Hidroeléctricos (GHH) en función de la disponibilidad real media mensual determinada en forma independiente del nivel real del embalse o de los aportes y erogaciones. La aplicación en los cálculos para el mes "m" se realiza tomando los valores registrados en el mes.

En el caso de las centrales hidroeléctricas de bombeo [HB], se debe considerar, para la evaluación de su disponibilidad, tanto la correspondiente a su operación como turbina en todas las horas del período, como su disponibilidad como bomba en todas las horas del período.

3.2. Remuneración de la Disponibilidad de Potencia

La remuneración en PESOS ARGENTINOS se realiza con la Disponibilidad Real de Potencia (DRP) media del mes valorizada al precio PrecBasePot [$/MW-mes] según lo establecido en el Punto 2 de este ANEXO.

La disponibilidad se determina descontando la potencia indisponible Forzada y por Mantenimientos Programados o Acordados.

REM PBASE [$/mes] = PrecBasePot * DPR [MW] * kFM

Siendo:

kFM = horas del mes fuera mantenimiento acordado dividido las horas del mes.

4. REMUNERACIÓN POR ENERGÍA GENERADA Y OPERADA

La Remuneración por Energía se compone de dos conceptos: Energía Generada y Energía Operada que se adicionan y remuneran como se indica más abajo.

La Remuneración por energía del Generador se define en su nodo.

4.1. Remuneración Energía Generada

A partir de la transacción económica de mayo de 2025

Para la generación de origen hidráulico, se reconocerá en cada hora el precio por energía generada de 3.934 $/MWh.

4.2. Remuneración Energía Operada

A partir de la transacción económica de mayo de 2025

Los generadores recibirán una remuneración mensual por la Energía Operada, representada por la integración de las potencias horarias en el período, valorizada a 1.566 $/MWh.

El volumen horario de la Energía Operada deberá corresponderse con el despacho óptimo para el cumplimiento de la energía y reservas asignadas.

4.3. Centrales de Bombeo

En el caso de las centrales hidroeléctricas de bombeo se debe considerar, para su remuneración, tanto la energía eléctrica generada como la consumida para el bombeo, por la energía bombeada y por la energía operada.

A partir de la transacción económica de mayo de 2025

Para las Centrales de Bombeo funcionando como compensador sincrónico se reconocerá 1.098 $/MVAr por los MVAr intercambiados con la red en las horas que sea requerido y 1.566 $/MWh por la Energía Operada.

5. REMUNERACIÓN POR GENERACION EN HORAS DE PUNTA

Para la generación de origen hidráulico, se reconocerá una remuneración equivalente a 2 veces el valor correspondiente al precio vigente por energía generada a ser aplicado en las cinco horas de pico (18.00 a 23.00 hs) de todos los días de los meses de diciembre, enero, febrero, junio, julio y agosto y a 1 vez el valor correspondiente al precio vigente por energía generada a ser aplicado en las cinco horas de pico (18.00 a 23.00 hs) de todos los días de los meses de marzo, abril, mayo, septiembre, octubre y noviembre.

6. REMUNERACIÓN OTRAS TECNOLOGÍAS DE GENERACIÓN

La remuneración de la energía generada por Centrales de Generación Habilitadas que funcionan a partir de fuentes energéticas no convencionales (GHR) que se identifican como tipo Eólicos, Solar Fotovoltaico, Biomasa, Biogás, Biogás de RSU pertenecientes a Agentes Generadores alcanzados por lo definido en el Artículo N°2 de la Resolución ex SRRYME N° 1/2019, recibirán por su energía generada exclusivamente lo indicado en el presente Punto.

6.1. Precio por la Energía Generada No Convencional (PENC)

A partir de la transacción económica de mayo de 2025

La energía generada por Centrales de Generación que funcionan a partir de fuentes energéticas no convencionales (GHR) se le reconocerá por su energía generada un precio de Energía No Convencional (PENC) establecido en 31.473 $/MWh.

6.2. Remuneración de la Energía Generada No Convencional

La Remuneración en PESOS ARGENTINOS de la Energía Generada No Convencional Mensual se obtiene por la integración horaria en el mes de la Energía Generada por el generador "g" en cada hora "h" [EGengh] por el Precio de Energía No Convencional (PENC) en esa hora.

REM ENC ($/mes) = ^n.mes (PENC * EGengh)

Siendo:

PENC: Es el Precio de Energía No Convencional (PENC) definido en el Punto 6.1 del presente Anexo.

La energía inyectada a la red proveniente de Unidades de Generación que funcionan a partir de fuentes energéticas no convencionales y que se encuentren en proceso previo a la Habilitación Comercial, recibirá, hasta alcanzar la habilitación referida, el 50% de la remuneración indicada previamente.

IF-2025-44747586-APN-DNRYDSE#MEC



ANEXO IV

REMUNERACIÓN DE CENTRALES HIDRÁULICAS ADMINISTRADAS POR ENTES BINACIONALES

1. CENTRALES HIDRÁULICAS BINACIONALES

En el presente Anexo se establecen las condiciones transaccionales para las Centrales Hidráulicas Binacionales Yacyretá y Salto Grande. Lo establecido en este Anexo es de aplicación para la energía aportada y potencia puesta a disposición del Sistema Argentino.

2. POTENCIA HIDROELÉCTRICA BINACIONAL

2.1. Precio de la Potencia Hidro Binacional (PPHBi)

Se define al Precio de la Potencia para Centrales Hidroeléctricas Binacionales (PPHBi) como: A partir de la transacción económica de mayo de 2025

PPHBi = 4.046.592 [$/MW-mes]

La remuneración resultante por PPHBi será la única que recibirán las Centrales Hidroeléctricas Binacionales de Yacyretá y Salto Grande por el concepto de disponibilidad de potencia.

A los efectos de considerar la incidencia de los Mantenimientos Programados de estas Centrales Hidroeléctricas en esta remuneración y mantener la señal de optimización de los mismos, se deberá aplicar, al valor establecido, un factor de 1,2.

Adicionalmente se debe considerar para la central de Salto Grande un factor de 1,2 en concepto de su sistema de transmisión.

2.2. Disponibilidad Real De Potencia Hidro Binacional

La Disponibilidad Real de Potencia Hidro Binacional (DRPHBi) es la disponibilidad media mensual correspondiente al mes "m" para los Generadores Yacyretá y Salto Grande en función de la disponibilidad real media mensual determinada en forma independiente de los aportes y erogaciones.

La aplicación en los cálculos para el mes "m" se realiza tomando los valores registrados en el mes.

2.3. Remuneración Por Disponibilidad De Potencia Hidro Binacional

Esta remuneración se determina con la Disponibilidad Real de Potencia Hidro Binacional (DRPHBi) media del mes, valorizada al precio PPHBi [$/MW-mes] según lo establecido en el Punto 2 de este Anexo.

La disponibilidad se determina descontando la potencia indisponible Forzada y por Mantenimientos Programados o Acordados.

REM PHBi [$/mes] = PPHBi [$/MW-mes] * DPRHBi [MW] * kFM

Siendo:

kFM = horas del mes fuera mantenimiento acordado dividido las horas del mes.

DRPHBi [MW]: La Disponibilidad Real de Potencia Hidro Binacional (DRPHBi) definida en el Punto 2.2 del presente Anexo.

PPHBi [$/MW-mes]: El Precio de la Potencia para Hidroeléctricas Binacionales (PHBi) definido en el Punto 2.1 del presente Anexo.

3. ENERGÍA HIDROELÉCTRICA BINACIONAL

Para la remuneración de la energía generada por las Centrales Hidráulicas Binacionales Yacyretá y Salto Grande, será de aplicación exclusivamente lo indicado en el presente Punto.

3.1. Precio por la Energía Generada Hidro Binacional (PEHBi)

Se reconocerá por la energía generada por las Centrales Hidráulicas Binacionales Yacyretá y Salto Grande el siguiente Precio de Energía Hidro Binacional (PEHBi) para cada una de las centrales:

A partir de la transacción económica de mayo de 2025


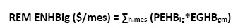
3.2. Remuneración de la Energía Generada Hidro Binacional

La Remuneración en PESOS ARGENTINOS de la Energía Generada por las Centrales Hidráulicas Binacionales se obtiene como la Energía Generada en el mes por el generador "g" (Yacyretá o Salto Grande) por el Precio de Energía Hidro Binacional (PEHBig) correspondiente.


Siendo:

PEHBig: Es el Precio de Energía Hidro Binacional definido en el Punto 3.1. del presente Anexo para la Central "g" (Yacyretá o Salto Grande).

EGHBgm: Es la energía entregada por la Central "g" (Yacyretá o Salto Grande) en el mes

IF-2025 -4475 7813 -APN-DNRYD SE#MEC



ANEXO V

REPAGO/DEVOLUCIÓN DE FINANCIAMIENTOS PARA MANTENIMIENTOS MAYORES Y/O
EXTRAORDINARIOS

Los Generadores Habilitados (GH), según lo definido en el Artículo N°2 de la Resolución ex SRRYME Nº 1/2019 y con el objeto de efectuar la cancelación de los financiamientos otorgados oportunamente para la ejecución de mantenimientos no recurrentes (mayores y/o
extraordinarios conforme lo establecido en las Resoluciones ex - S.E. N°146/2002, N° 529/2014 y sus continuadoras), y una vez aplicados con tal fin la totalidad de los créditos devengados a favor del respectivo Agente Generador para su asignación y/o comprometidos previamente a la devolución y/o cancelación de los aludidos financiamientos, CAMMESA deberá descontar de la liquidación de los créditos que le correspondan un monto equivalente al resultado de aplicar:

DESC FIN MAN ($/mes) =

A partir de la transacción económica de mayo de 2025.

MAX { Egenmes [MWh] x 1.120 [$/MWh] ; DRP[MW] x 786.834 [$/MW-mes] }

Este procedimiento es aplicable hasta alcanzar la cancelación total del referido financiamiento.

IF-2025-44762887-APN-DNRYDSE#MEC