MINISTERIO DE ECONOMÍA

SECRETARÍA DE INDUSTRIA Y COMERCIO

Resolución 377/2025

RESOL-2025-377-APN-SIYC#MEC

Ciudad de Buenos Aires, 03/10/2025

VISTO el Expediente N° EX-2025-103624808- -APN-DGDMDP#MEC, los Decretos Nros. 49 de fecha 30 de enero de 2025 y 650 de fecha 10 de septiembre de 2025, y la Resolución N° 29 de fecha 28 de febrero de 2025 de la SECRETARÍA DE INDUSTRIA Y COMERCIO del MINISTERIO DE ECONOMÍA, y

CONSIDERANDO:

Que por medio del Decreto N° 49 de fecha 30 de enero de 2025 se fijó en CERO POR CIENTO (0%) la alícuota correspondiente al Derecho de Importación Extrazona (D.I.E.) para los bienes comprendidos en las posiciones arancelarias de la NOMENCLATURA COMÚN DEL MERCOSUR (N.C.M.) y sus respectivas referencias que se consignan en su ANEXO I, cuyo valor FOB no exceda los DÓLARES ESTADOUNIDENSES DIECISÉIS MIL (USD 16.000).

Que a través del Artículo 5° del decreto referido se designó a la SECRETARÍA DE INDUSTRIA Y COMERCIO del MINISTERIO DE ECONOMÍA como Autoridad de Aplicación.

Que la Resolución N° 29 de fecha 28 de febrero de 2025 de la SECRETARÍA DE INDUSTRIA Y COMERCIO del MINISTERIO DE ECONOMÍA aprobó el procedimiento para la solicitud y asignación de cupo de importación en el marco del citado decreto.

Que, en otro orden, mediante la Disposición N° 30 de fecha 14 de marzo de 2025 de la Dirección Nacional de Gestión de Política Industrial de la SUBSECRETARÍA DE POLÍTICA INDUSTRIAL de la SECRETARÍA DE INDUSTRIA Y COMERCIO del MINISTERIO DE ECONOMÍA y la Resolución N° 210 de fecha 10 de junio de 2025 de la SECRETARÍA DE INDUSTRIA Y COMERCIO del MINISTERIO DE ECONOMÍA se realizaron los llamados a convocatoria a fin de solicitar la asignación de cupo de importación para un total de CINCUENTA MIL (50.000) vehículos para el año 2025.

Que, en tal sentido, a través de la Disposición N° 32 de fecha 15 de abril de 2025 de la Dirección Nacional de Gestión de Política Industrial de la SUBSECRETARÍA DE POLÍTICA INDUSTRIAL de la SECRETARÍA DE INDUSTRIA Y COMERCIO del MINISTERIO DE ECONOMÍA y de la Resolución N° 295 de fecha 25 de julio de 2025 de la SECRETARÍA DE INDUSTRIA Y COMERCIO del MINISTERIO DE ECONOMÍA, se asignaron el total de las unidades previstas para dicho año.

Que, sin perjuicio de lo expuesto en el considerando precedente, por renuncias o incumplimientos, el límite máximo anual de unidades que efectivamente pueden importarse en el año 2025 al amparo del Decreto N° 49/25 no se encuentra insumido en su totalidad, por lo que resulta procedente formalizar un nuevo llamado a convocatoria para conformar una lista de espera para la asignación del remanente del cupo en caso que no sea utilizado por los asignatarios actuales, así como también, una convocatoria para solicitar asignaciones de cupo correspondiente al año 2026, de conformidad a las previsiones contempladas en la Resolución N° 29/25 de la SECRETARÍA DE INDUSTRIA Y COMERCIO y en la presente medida.

Que, asimismo, corresponde actualizar la Resolución N° 29/25 de la SECRETARÍA DE INDUSTRIA Y COMERCIO en cuanto a las condiciones temporales de ingreso de las unidades beneficiadas por el régimen, posibilitando en ciertos casos la prórroga de las asignaciones otorgadas.

Que la experiencia recogida en convocatorias anteriores ha evidenciado la conveniencia de permitir el ajuste temporal del ingreso de unidades y prorrogar asignaciones, en función de la disponibilidad efectiva de cupos y las necesidades del sector productivo.

Que, en ese marco, se considera pertinente dicha modificación, siempre que la posible fecha de nacionalización no haya sido utilizada como criterio de selección en la convocatoria correspondiente y en ella haya mediado agotamiento de cupo.

Que la modificación propuesta contribuirá a una planificación más eficiente, evitando la pérdida de cupos por razones ajenas al compromiso de los asignatarios, y promoviendo una asignación más racional y equitativa de los beneficios del régimen.

Que mediante el Decreto N° 650 de fecha 10 de septiembre de 2025, se asignó al Señor Secretario de Coordinación de Producción, Pablo Agustín LAVIGNE (D.N.I. N° 30.448.069), el ejercicio de las competencias atribuidas a la SECRETARÍA DE LA PEQUEÑA Y MEDIANA EMPRESA, EMPRENDEDORES Y ECONOMÍA DEL CONOCIMIENTO y a la SECRETARÍA DE INDUSTRIA Y COMERCIO, ambas dependientes del MINISTERIO DE ECONOMÍA.

Que ha tomado intervención el servicio jurídico competente.

Que la presente medida se dicta en ejercicio de las facultades conferidas por los Decretos Nros. 49/25 y 650/25.

Por ello,

EL SECRETARIO DE COORDINACIÓN DE PRODUCCIÓN

EN EJERCICIO DE LAS COMPETENCIAS

DE LA SECRETARÍA DE INDUSTRIA Y COMERCIO

RESUELVE:

ARTÍCULO 1°.- LLAMADO A CONVOCATORIA. Convócase a las personas jurídicas interesadas en solicitar la asignación de cupos de importación de vehículos automotores, correspondientes al periodo 2026, con la reducción de las alícuotas en concepto de Derecho de Importación Extrazona (D.I.E), prevista en el Decreto N° 49 de fecha 30 de enero de 2025, cuyas tecnologías de motorización alternativas se encuentren comprendidas en el citado decreto, con el alcance de la Resolución N° 29 de fecha 28 de febrero de 2025 de la SECRETARÍA DE INDUSTRIA Y COMERCIO del MINISTERIO DE ECONOMÍA, a formalizar las correspondientes presentaciones conforme las previsiones allí dispuestas y la presente resolución.

ARTÍCULO 2°.- Establécese en CINCUENTA MIL (50.000) la totalidad de unidades a ser asignadas en la convocatoria establecida en el artículo precedente, en función de lo estipulado en el Artículo 3° del Decreto N° 49/25. Dicho límite máximo de unidades podrá ser importado hasta el día 31 de enero de 2027, conforme lo establecido en el Artículo 10 del Anexo de la Resolución N° 29/25 de la SECRETARÍA DE INDUSTRIA Y COMERCIO.

La asignación se distribuirá en DOS (2) categorías, de acuerdo a lo previsto en el Artículo 8° del Anexo de la citada resolución, a saber:

a) VEINTICINCO MIL (25.000) a empresas terminales radicadas y con producción en la REPÚBLICA ARGENTINA, y

b) VEINTICINCO MIL (25.000) para las personas jurídicas que no cumplan con las condiciones fijadas en el acápite a) del presente artículo.

En el supuesto de producirse un remanente de cupo en una de las categorías, se lo podrá asignar a solicitantes de la otra. De la misma manera, al término del plazo de utilización de cupos asignados sin que se hubiera utilizado en su totalidad o en parte, se lo podrá reasignar a otro solicitante en esta misma convocatoria.

Los cupos liberados, por renuncia o no cumplimiento de nacionalización u otras causales previstas en la Resolución N° 29/25 de la SECRETARÍA DE INDUSTRIA Y COMERCIO, serán reasignados a los solicitantes que, habiendo cumplido con los requisitos de admisibilidad y evaluación establecidos en la reglamentación y en el presente llamado, no hubieran recibido o hubieran recibido uno inferior al solicitado. El criterio de selección para la asignación de dichos cupos vacantes será el menor precio de venta al público comprometido y la fecha estimada para su nacionalización. En ese sentido, las solicitudes de cupo se otorgarán según el precio de venta al público en DÓLARES ESTADOUNIDENSES (USD), siguiendo un orden de prelación desde el más bajo al más alto. En caso de mediar igualdad de precio, se asignará verificando el mes estimado de Registro u Oficialización de la mercadería correspondiente a la posible Fecha de Nacionalización más próxima que se haya declarado.

La Autoridad de Aplicación notificará a los nuevos requirentes asignados, quienes deberán manifestar su aceptación en un plazo de CINCO (5) días hábiles. Vencido dicho plazo sin manifestación expresa, se considerará no aceptada la reasignación, pudiendo continuar con el siguiente solicitante en el orden de prelación.

El presente llamado únicamente se limita a la asignación de cupos para aquellos solicitantes constituidos como personas jurídicas, cuya finalidad sea la comercialización de los vehículos alcanzados por el régimen, en observancia con las obligaciones establecidas en las Leyes Nros. 24.240 de Defensa del Consumidor y 24.449 de Tránsito, y sus modificatorias, reglamentarias y complementarias. En tal sentido, los requirentes deberán cumplir no sólo con lo previsto en el Decreto N° 49/25 y la Resolución N° 29/25 de la SECRETARÍA DE INDUSTRIA Y COMERCIO, sino también, con todas aquellas normas que resulten aplicables a la comercialización, puesta en vía pública y circulación de los vehículos en cuestión.

ARTÍCULO 3°.- MONTO MÁXIMO DE VALOR FOB UNITARIO. El monto máximo de valor FOB unitario de los vehículos automotores objeto de tratamiento al amparo de la presente convocatoria, no deberá superar la suma de DÓLARES ESTADOUNIDENSES DIECISÉIS MIL (USD 16.000), de acuerdo a lo estipulado en el Artículo 1° del Decreto N° 49/25 y el Artículo 8° del Anexo de la Resolución N° 29/25 de la SECRETARÍA DE INDUSTRIA Y COMERCIO.

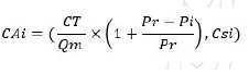
ARTÍCULO 4°.- CRITERIO DE SELECCIÓN, METODOLOGÍA Y FÓRMULA PARA ASIGNAR CUPO.

Establécese que la asignación del cupo mencionado en la presente resolución estará determinada por el menor precio de lista de venta al público ofrecido en DÓLARES ESTADOUNIDENSES (USD), conforme la metodología que se desarrolla a continuación:



Donde:

CAi = cupo individual a asignar al modelo i.

CT = Cupo Total.

Qm = Cantidad de modelos.

Pr = precio promedio ponderado de los modelos.

Pi = Precio de lista ofrecido de venta al público del modelo i en DÓLARES ESTADOUNIDENSES (USD).

Csi = Cupo solicitado por el modelo i.

Asimismo, al término siguiente se lo considerará, a efectos descriptivos, como primer componente de la fórmula:



En base a ello, el cupo correspondiente a cada una de las categorías definidas en el Artículo 2° de la presente medida, se asignará de acuerdo al siguiente procedimiento:

1. se dividirá el cupo total a asignar por la cantidad de modelos para los que se solicita cupo (CT/Qm).

2. se calculará el precio promedio ponderado de venta al público de los modelos solicitados (Pr).

3. el cupo individual a asignar a cada modelo (CAi) será lo que resulte menor entre el cupo solicitado para ese modelo (Csi) y resultado del cociente (CT/Qm) ajustado al alza (baja) en el mismo porcentaje en que el precio de venta del modelo resulte menor (mayor) respecto al precio promedio ponderado (Pr).

4. Los remanentes de cupo que surjan de la aplicación de esta fórmula en una primera instancia, por modelos para los que se solicitan menor cantidad respecto al resultado del “primer componente de la fórmula”, será asignado en instancias sucesivas a los modelos que solicitaron una mayor cantidad respecto a la asignada siguiendo la misma metodología hasta el agotamiento del cupo.

En los casos en que se verifiquen precios idénticos entre dos o más requirentes, se aplicará como criterio de desempate el mes estimado de nacionalización declarado por el/los solicitante/s, priorizando aquel cuya nacionalización se prevea en fecha más próxima. Ello procederá únicamente en las situaciones donde no reste cupo para asignar entre los solicitantes.

ARTÍCULO 5°.- DOCUMENTACIÓN E INFORMACIÓN QUE DEBERÁN PROVEER LOS SOLICITANTES. Las solicitudes se deberán presentar mediante la Plataforma de “Trámites a Distancia” (TAD) en el trámite específico generado al efecto en el Portal de la web: argentina.gob.ar, debiendo completar el formulario allí disponible y la planilla de solicitud de importación que como Anexo I, IF-2025-107373864-APN-SSPI#MEC, forma parte integrante de la presente medida.

Asimismo, se deberá acompañar la documentación requerida en el Artículo 4° del Anexo de la Resolución N° 29/25 de la SECRETARÍA DE INDUSTRIA Y COMERCIO y adjuntar una declaración jurada suscripta por la solicitante por la cual se comprometa, previo a ser librado al tránsito público, a dar cumplimiento con lo previsto en la normativa aplicable relacionada a las condiciones de seguridad vehícular en los términos de la Ley N° 24.449, su Decreto Reglamentario N° 779 de fecha 20 de noviembre de 1995 y sus modificatorios y demás normas complementarias.

ARTÍCULO 6°.- PLAZO DE PRESENTACIÓN y MODO EN QUE SE ADMITIRÁN LAS SOLICITUDES. Las personas jurídicas interesadas podrán presentar sus solicitudes hasta las VEINTITRÉS HORAS CINCUENTA Y NUEVE MINUTOS (23:59 hs) del día 16 de octubre de 2025.

Solo se admitirán las solicitudes presentadas por medio de la referida plataforma electrónica y a través del trámite establecido en el Artículo 5° de la presente medida, por lo que no serán consideradas válidas las presentaciones realizadas en soporte físico o por correo postal, así como tampoco, aquellas que sean formalizadas vía correo electrónico o por cualquier otro medio o trámite “TAD” distinto al allí previsto.

A fin de garantizar su validez, la solicitud electrónicamente cargada deberá ser realizada por usuario facultado para ello, conforme se indica en el inciso 2) del Artículo 4° del Anexo de la Resolución N° 29/25 de la SECRETARÍA DE INDUSTRIA Y COMERCIO y apoderado en la “Plataforma TAD”.

Al respecto, deberá tenerse presente que las solicitudes que no reúnan la totalidad de los recaudos consignados en la presente resolución, se tendrán por no presentadas.

ARTÍCULO 7°.- EFECTOS DE LA PRESENTACIÓN DE LA SOLICITUD. La presentación de la solicitud implica de parte del requirente el pleno conocimiento y aceptación de la totalidad de normas y cláusulas que rigen a este procedimiento, como también, aquellas cuyo cumplimiento resulte necesario para el desarrollo del presente trámite y para la posterior comercialización de los bienes aquí comprendidos, incluyendo mas no limitándose a la Ley N° 24.449, sus normas reglamentarias y complementarias, y todas las condiciones de seguridad activas y pasivas de los vehículos para ser librados al tránsito público con el fin de garantizar la conformidad de producción y satisfacción del consumidor, conforme lo definido en dicha normativa. Esto implica, además, la evaluación por parte del requirente de todas las circunstancias, la previsión de sus consecuencias y la aceptación en su totalidad de las condiciones estipuladas, sin que pueda alegar en adelante su desconocimiento.

En ningún caso el oferente podrá alegar el mal funcionamiento de la plataforma electrónica para eximirse o aducir excepciones respecto del ingreso oportuno de cualquier dato, información o documentación requerida en los formularios electrónicos habilitados, debiendo aquél guardar la debida diligencia y antelación para ingresar y confirmar su solicitud en los plazos perentorios aquí establecidos.

ARTÍCULO 8°.- RENUNCIA SIN PENALIDAD. El plazo para que los asignatarios de cupo 2026 renuncien total o parcialmente al cupo que se encuentren imposibilitados de cumplir sin penalidad, será hasta las VEINTITRÉS HORAS CINCUENTA Y NUEVE MINUTOS (23:59 hs) del día 31 de enero de 2026, ello en los términos del Artículo 13 del Anexo de la Resolución N° 29/25 de la SECRETARÍA DE INDUSTRIA Y COMERCIO.

ARTÍCULO 9°.- Las cuestiones y aspectos no regladas por la presente medida serán determinadas y definidas en base a lo dispuesto en el Decreto N° 49/25 y en la Resolución N° 29/25 de la SECRETARÍA DE INDUSTRIA Y COMERCIO y sus normas complementarias.

ARTÍCULO 10.- SUB CONVOCATORIA 2025. Convócase a las personas jurídicas interesadas en solicitar la reasignación de cupos de importación de vehículos automotores en el marco del Decreto N° 49/25 y sus normas complementarias, correspondientes al eventual remanente por unidades asignadas y no utilizadas del período 2025, con la reducción de las alícuotas en concepto de Derecho de Importación Extrazona (D.I.E) prevista en el referido decreto, a formalizar las correspondientes presentaciones conforme lo establecido en la presente resolución.

La utilización de los cupos cuya asignación se efectúe en el marco de la sub convocatoria dispuesta en el párrafo anterior, deberá realizarse en observancia del plazo máximo de importación, establecido en el Artículo 10 del Anexo de la Resolución N° 29/25 de la SECRETARÍA DE INDUSTRIA Y COMERCIO, cuyo término operará el día 31 de enero de 2026. La solicitud y reasignación se llevarán a cabo de conformidad a los criterios y metodología previstas en la presente medida.

La cantidad de unidades a reasignar en el marco de esta sub convocatoría quedará determinada en función de la información obtenida en virtud del procedimiento previsto en el Artículo 12 del Anexo de la Resolución N° 29/25 de la SECRETARÍA DE INDUSTRIA Y COMERCIO.

Las solicitudes de reasignación se deberán formalizar conforme los mismos plazos y formalidades establecidas en los Artículos 5° y 6° de la presente resolución, respecto de la convocatoria correspondiente al período 2026, debiendo completar el formulario disponible en el trámite específico generado al efecto en el Portal de la web: argentina.gob.ar y la planilla de solicitud de importación que como Anexo II, IF-2025-107373818-APN-SSPI#MEC, forma parte integrante de la presente medida.

El acto administrativo atinente al orden de reasignación de los cupos que queden vacantes como consecuencia de alguna de las causales previstas en la Resolución N° 29/25 de la SECRETARÍA DE INDUSTRIA Y COMERCIO, tales como renuncia, incumplimiento u otras situaciones contempladas en dicha normativa será integrado conforme orden de prelación de aquellos solicitantes que cumplimentaran los requisitos formales establecidos en la presente convocatoria.

ARTÍCULO 11.- Sustitúyese el Artículo 11 del Anexo de la Resolución N° 29/25 de la SECRETARÍA DE INDUSTRIA Y COMERCIO, por el siguiente:

“ARTÍCULO 11.- OBLIGACIONES DEL ASIGNATARIO DE CUPO. Aquellos sujetos que resulten con cupo asignado deberán utilizarlo, conforme los compromisos asumidos en su solicitud, en especial aquellos compromisos en relación a los plazos, cantidades y precio declarados en el formulario de solicitud. El incumplimiento de las fechas comprometidas implicará la pérdida de aquellos cupos no utilizados y su reasignación.

Los solicitantes podrán adelantar la cantidad de vehículos automotores a importar para un determinado periodo, pero nunca se podrá retrasar su entrega del momento comprometido.

Sin perjuicio de ello, la Autoridad de Aplicación podrá establecer condiciones temporales de ingreso de las unidades beneficiadas por el régimen, así como disponer prórrogas en los plazos de importación de las asignaciones otorgadas en el marco de sus competencias, en la medida que las mismas no excedan del plazo máximo previsto en el Artículo 10 de la presente resolución; Tales decisiones deberán considerar la solicitud que al efecto formalice la persona jurídica interesada, la documentación que aquélla acompañe, las necesidades del mercado y la disponibilidad efectiva de cupos, procurando garantizar una adecuada planificación y eficiencia en la implementación del régimen. En los casos en que se solicite prórroga del plazo de nacionalización informado oportunamente, deberá acreditarse fehacientemente que la demora en la nacionalización de las unidades se debió a causas ajenas a la voluntad del asignatario, tales como -por ejemplo- demoras logísticas, aduaneras o de producción, debidamente documentadas. Estas facultades podrán ejercerse en tanto y en cuanto el mes estimado en que se produzca la nacionalización no constituya el criterio de selección aplicado para la correspondiente convocatoria y en ella haya mediado agotamiento de cupo.”

ARTÍCULO 12.- La presente resolución entrará en vigencia a partir del día siguiente de su publicación en el Boletín Oficial.

ARTÍCULO 13.- Comuníquese, publíquese, dese a la DIRECCIÓN NACIONAL DEL REGISTRO OFICIAL y archívese.

Pablo Agustin Lavigne

NOTA: El/los Anexo/s que integra/n este(a) Resolución se publican en la edición web del BORA -www.boletinoficial.gob.ar-

e. 06/10/2025 N° 74130/25 v. 06/10/2025

(Nota Infoleg: Los anexos referenciados en la presente norma han sido extraídos de la edición web de Boletín Oficial. Los mismos pueden consultarse en el siguiente link: AnexoI, AnexoII)