MINISTERIO DE ECONOMÍA

SECRETARÍA DE FINANZAS

Y

SECRETARÍA DE HACIENDA

Resolución Conjunta 58/2025

RESFC-2025-58-APN-SH#MEC

Ciudad de Buenos Aires, 05/11/2025

Visto el expediente EX-2025-122022444- -APN-DGDA#MEC, las leyes 24.156 de Administración Financiera y de los Sistemas de Control del Sector Público Nacional, y 27.701 de Presupuesto General de la Administración Nacional para el ejercicio 2023, que rige para el ejercicio 2025 conforme el artículo 27 de la ley 24.156 y sus modificatorias, en los términos del decreto 1131 del 27 de diciembre de 2024, los decretos 1344 del 4 de octubre de 2007, 820 del 25 de octubre de 2020, 436 del 29 de agosto de 2023 (DECNU-2023-436-APN-PTE), 56 del 16 de diciembre de 2023 (DNU-2023-56-APN-PTE), 23 del 4 de enero de 2024 (DNU-2024-23-APN-PTE), 280 del 26 de marzo de 2024 (DNU-2024-280-APN-PTE), 594 del 5 de julio de 2024 (DNU-2024-594-APN-PTE), y 1104 del 17 de diciembre de 2024 (DNU-2024-1104-APN-PTE), y la resolución conjunta 9 del 24 de enero de 2019 de la Secretaría de Finanzas y de la Secretaría de Hacienda, ambas del ex Ministerio de Hacienda (RESFC-2019-9-APN-SECH#MHA), y

CONSIDERANDO:

Que en el Título III de la ley 24.156 de Administración Financiera y de los Sistemas de Control del Sector Público Nacional se regula el Sistema de Crédito Público, estableciéndose en el artículo 60 que las entidades de la Administración Nacional no podrán formalizar ninguna operación de crédito público que no esté contemplada en la ley de presupuesto general del año respectivo o en una ley específica.

Que en el artículo 37 de la ley 27.701 de Presupuesto General de la Administración Nacional para el ejercicio 2023, que rige para el ejercicio 2025 conforme el artículo 27 de la ley 24.156 y sus modificatorias, en los términos del decreto 1131 del 27 de diciembre de 2024, con las modificaciones dispuestas en los artículos 5° del decreto 436 del 29 de agosto de 2023 (DECNU-2023-436-APN-PTE), 2° del decreto 56 del 16 de diciembre de 2023 (DNU-2023-56-APN-PTE), 1° del decreto 23 del 4 de enero de 2024 (DNU-2024-23-APN-PTE), 7° del decreto 280 del 26 de marzo de 2024 (DNU-2024-280-APN-PTE), 6º del decreto 594 del 5 de julio de 2024 (DNU-2024-594-APN-PTE) y 6º del decreto 1104 del 17 de diciembre de 2024 (DNU-2024-1104-APN-PTE), se autoriza al Órgano Responsable de la coordinación de los sistemas de Administración Financiera a realizar operaciones de crédito público por los montos, especificaciones y destino del financiamiento indicados en la planilla anexa al mencionado artículo.

Que en el apartado I del artículo 6° del anexo al decreto 1344 del 4 de octubre de 2007, modificado mediante el artículo 5° del decreto 820 del 25 de octubre de 2020, se establece que las funciones de Órgano Responsable de la coordinación de los sistemas que integran la Administración Financiera del Sector Público Nacional, serán ejercidas conjuntamente por la Secretaría de Finanzas y la Secretaría de Hacienda, ambas del actual Ministerio de Economía.

Que a través del artículo 2° de la resolución conjunta 9 del 24 de enero de 2019 de la Secretaría de Finanzas y de la Secretaría de Hacienda ambas del ex Ministerio de Hacienda (RESFC-2019-9-APN-SECH#MHA), se sustituyeron las normas de “Procedimiento para la Colocación de Instrumentos de Deuda Pública”, aprobadas mediante el artículo 1° de la resolución 162 del 7 de septiembre de 2017 del ex Ministerio de Finanzas (RESOL-2017-162-APN-MF).

Que en ese marco normativo se realizará una licitación por efectivo, para lo cual se procederá a la emisión de tres (3) nuevos instrumentos de deuda pública denominados “Letra del Tesoro Nacional Capitalizable en pesos con vencimiento 31 de agosto de 2026”, “Letra del Tesoro Nacional en pesos a tasa TAMAR con vencimiento 31 de agosto de 2026” y “Bono del Tesoro Nacional en pesos a tasa TAMAR con vencimiento 31 de mayo de 2027”.

Que, asimismo, se entendió conveniente proceder a la ampliación de la emisión de la “Letra del Tesoro Nacional capitalizable en pesos con vencimiento 27 de febrero de 2026”, emitida originalmente mediante el artículo 3° de la resolución conjunta 41 del 27 de agosto de 2025 de la Secretaría de Finanzas y de la Secretaría de Hacienda, ambas del Ministerio de Economía (RESFC-2025-41-APN-SH#MEC), del “Bono del Tesoro Nacional Capitalizable en pesos con vencimiento 30 de abril de 2027”, emitido originalmente mediante el artículo 2° de la resolución conjunta 54 del 29 de octubre de 2025 de la Secretaría de Finanzas y de la Secretaría de Hacienda, ambas del Ministerio de Economía (RESFC-2025-54-APN-SH#MEC), y de la “Letra del Tesoro Nacional vinculada al dólar estadounidense cero cupón con vencimiento 30 de abril de 2026”, emitida originalmente mediante el artículo 3° de la resolución conjunta 47 del 26 de septiembre de 2025 de la Secretaría de Finanzas y de la Secretaría de Hacienda, ambas del Ministerio de Economía (RESFC-2025-47-APN-SH#MEC).

Que las operaciones que se impulsan, cuyos vencimientos operan en ejercicios futuros, se encuentran dentro de los límites establecidos en la planilla anexa al artículo 37 de la ley 27.701, que rige para el ejercicio 2025 conforme el artículo 27 de la ley 24.156 y sus modificatorias, en los términos del decreto 1131/2024, con las modificaciones dispuestas en los artículos 5° del decreto 436/2023, 2° del decreto 56/2023, 1° del decreto 23/2024, 7° del decreto 280/2024, 6º del decreto 594/2024 y 6º del decreto 1104/2024.

Que el servicio jurídico permanente del Ministerio de Economía ha tomado la intervención que le compete.

Que esta medida se dicta en virtud de las facultades previstas en el artículo 37 de la ley 27.701 -con las modificaciones dispuestas en los artículos 5° del decreto 436/2023, 2° del decreto 56/2023, 1° del decreto 23/2024, 7º del decreto 280/2024, 6º del decreto 594/2024 y 6º del decreto 1104/2024-, que rige para el ejercicio 2025 conforme el artículo 27 de la ley 24.156 y sus modificatorias, en los términos del decreto 1131/2024, y en el apartado I del artículo 6° del anexo al decreto 1344/2007.

Por ello,

EL SECRETARIO DE FINANZAS

Y

EL SECRETARIO DE HACIENDA

RESUELVEN:

ARTÍCULO 1º.- Dispónese la emisión de la “Letra del Tesoro Nacional Capitalizable en pesos con vencimiento 31 de agosto de 2026”, por hasta la suma de valor nominal original necesaria para cubrir la demanda en el proceso de licitación que se realizará el día 5 de noviembre del corriente año, que no podrá superar el monto de valor nominal original pesos cinco billones (VNO $ 5.000.000.000.000), con las siguientes condiciones financieras:

Fecha de emisión: 10 de noviembre de 2025.

Fecha de vencimiento: 31 de agosto de 2026.

Moneda de denominación, suscripción y pago: pesos.

Precio de emisión original: a la par.

Amortización: íntegra al vencimiento.

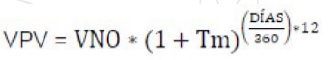
Intereses: pagará intereses a una tasa efectiva mensual capitalizable mensualmente hasta el vencimiento del instrumento, la que será determinada en la licitación. Los intereses serán calculados sobre la base de meses de treinta (30) días y años de trescientos sesenta (360) días (30/360). Para el cálculo se utilizará la siguiente fórmula:



Donde:

DÍAS: cantidad de días transcurridos entre la fecha de emisión y la fecha de vencimiento, calculados sobre la base de meses de treinta (30) días y años de trescientos sesenta (360) días (30/360).

VPV: Valor de Pago al Vencimiento.

VNO: Valor Nominal Original.

Tm: tasa efectiva mensual que se determine en la licitación.

Denominación mínima: será de valor nominal original pesos uno (VNO $ 1).

Colocación: la suscripción se llevará a cabo, en uno (1) o varios tramos, según lo determine la Secretaría de Finanzas del Ministerio de Economía, conforme a las normas de procedimiento aprobadas mediante la resolución conjunta 9 del 24 de enero de 2019 de la Secretaría de Finanzas y de la Secretaría de Hacienda, ambas del ex Ministerio de Hacienda (RESFC2019-9-APN-SECH#MHA).

Negociación: será negociable y se solicitará su cotización en A3 Mercados SA y en bolsas y mercados de valores del país.

Titularidad: se emitirán Certificados Globales a nombre de la Central de Registro y Liquidación de Pasivos Públicos y Fideicomisos Financieros (CRYL) del Banco Central de la República Argentina (BCRA), en su carácter de Agente de Registro de la Letra.

Exenciones impositivas: gozará de todas las exenciones impositivas dispuestas en las leyes y reglamentaciones vigentes en la materia.

Atención de los servicios financieros: los pagos se cursarán a través del BCRA mediante transferencias de fondos en las respectivas cuentas de efectivo que posean los titulares de cuentas de registro en dicha institución.

Ley aplicable: ley de la República Argentina.

ARTÍCULO 2º.- Dispónese la emisión de la “Letra del Tesoro Nacional en pesos a tasa TAMAR con vencimiento 31 de agosto de 2026”, por hasta la suma de valor nominal original necesaria para cubrir la demanda en el proceso de licitación que se realizará el día 5 de noviembre del corriente año, que no podrá superar el monto de valor nominal original pesos cinco billones (VNO $ 5.000.000.000.000), con las siguientes condiciones financieras:

Fecha de emisión: 10 de noviembre de 2025.

Fecha de vencimiento: 31 de agosto de 2026.

Moneda de denominación, suscripción y pago: pesos.

Precio de emisión original: a la par.

Amortización: íntegra al vencimiento.

Intereses: devengará intereses a la tasa efectiva mensual “TAMAR TEM” capitalizable mensualmente hasta el vencimiento del instrumento. Los intereses serán calculados sobre la base de meses de treinta (30) días y años de trescientos sesenta (360) días (30/360). Para el cálculo se utilizará la siguiente fórmula:



Donde:

DÍAS: cantidad de días transcurridos entre la fecha de emisión y la fecha de vencimiento, calculados sobre la base de meses de treinta (30) días y años de trescientos sesenta (360) días (30/360).

VPV: Valor de Pago al Vencimiento.

VNO: Valor Nominal Original.

TAMAR TEM:



Siendo:

TAMAR: se determinará como el promedio aritmético simple de la tasa de interés para depósitos a plazo fijo de más de mil millones de pesos ($ 1.000.000.000) - TAMAR promedio bancos privados -, calculado considerando las tasas publicadas, durante el plazo del título, por el BCRA desde diez (10) días hábiles antes del inicio de la fecha de emisión hasta diez (10) días hábiles antes de la fecha vencimiento.

MARGEN: será determinado en la licitación del día 5 de noviembre de 2025. Una vez establecido éste se mantendrá hasta el vencimiento del instrumento.

Denominación mínima: será de valor nominal original pesos uno (VNO $ 1).

Colocación: se llevará a cabo conforme las normas de procedimiento aprobadas mediante el artículo 2° de la resolución conjunta 9/2019 de la Secretaría de Finanzas y de la Secretaría de Hacienda.

Negociación: serán negociables y se solicitará su cotización en A3 Mercados SA y en bolsas y mercados de valores del país.

Titularidad: se emitirán Certificados Globales a nombre de la CRYL del BCRA, en su carácter de Agente de Registro de la Letra.

Exenciones impositivas: gozarán de todas las exenciones impositivas dispuestas por las leyes y reglamentaciones vigentes en la materia.

Atención de los servicios financieros: los pagos se cursarán a través del BCRA mediante transferencias de fondos en las respectivas cuentas de efectivo que posean los titulares de cuentas de registro en esa institución.

Ley aplicable: la ley de la República Argentina.

ARTÍCULO 3º.- Dispónese la emisión del “Bono del Tesoro Nacional en pesos a tasa TAMAR con vencimiento 31 de mayo de 2027”, por hasta la suma de valor nominal original necesaria para cubrir la demanda en el proceso de licitación que se realizará el día 5 de noviembre del corriente año, que no podrá superar el monto de valor nominal original pesos cinco billones (VNO $ 5.000.000.000.000), con las siguientes condiciones financieras:

Fecha de emisión: 10 de noviembre de 2025.

Fecha de vencimiento: 31 de mayo de 2027.

Moneda de denominación, suscripción y pago: pesos.

Precio de emisión original: a la par.

Amortización: íntegra al vencimiento.

Intereses: devengará intereses a la tasa efectiva mensual “TAMAR TEM” capitalizable mensualmente hasta el vencimiento del instrumento. Los intereses serán calculados sobre la base de meses de treinta (30) días y años de trescientos sesenta (360) días (30/360). Para el cálculo se utilizará la siguiente fórmula:



Donde:

DÍAS: cantidad de días transcurridos entre la fecha de emisión y la fecha de vencimiento, calculados sobre la base de meses de treinta (30) días y años de trescientos sesenta (360) días (30/360).

VPV: Valor de Pago al Vencimiento.

VNO: Valor Nominal Original.

TAMAR TEM:



Siendo:

TAMAR: se determinará como el promedio aritmético simple de la tasa de interés para depósitos a plazo fijo de más de mil millones de pesos ($ 1.000.000.000) - TAMAR promedio bancos privados -, calculado considerando las tasas publicadas, durante el plazo del título, por el BCRA desde diez (10) días hábiles antes del inicio de la fecha de emisión hasta diez (10) días hábiles antes de la fecha vencimiento.

MARGEN: será determinado en la licitación del día 5 de noviembre de 2025. Una vez establecido éste se mantendrá hasta el vencimiento del instrumento.

Denominación mínima: será de valor nominal original pesos uno (VNO $ 1).

Colocación: se llevará a cabo conforme las normas de procedimiento aprobadas mediante el artículo 2° de la resolución conjunta 9/2019 de la Secretaría de Finanzas y de la Secretaría de Hacienda.

Negociación: serán negociables y se solicitará su cotización en A3 Mercados SA y en bolsas y mercados de valores del país.

Titularidad: se emitirán Certificados Globales a nombre de la CRYL del BCRA, en su carácter de Agente de Registro del Bono.

Exenciones impositivas: gozarán de todas las exenciones impositivas dispuestas por las leyes y reglamentaciones vigentes en la materia.

Atención de los servicios financieros: los pagos se cursarán a través del BCRA mediante transferencias de fondos en las respectivas cuentas de efectivo que posean los titulares de cuentas de registro en esa institución.

Ley aplicable: la ley de la República Argentina.

ARTÍCULO 4º.- Dispónese la ampliación de la emisión de la “Letra del Tesoro Nacional capitalizable en pesos con vencimiento 27 de febrero de 2026”, emitida originalmente mediante el artículo 3° de la resolución conjunta 41 del 27 de agosto de 2025 de la Secretaría de Finanzas y de la Secretaría de Hacienda, ambas del Ministerio de Economía (RESFC-2025-41-APN-SH#MEC), por hasta la suma de valor nominal original necesaria para cubrir la demanda en el proceso de licitación que se realizará el día 5 de noviembre del corriente año, en el marco de las normas de procedimiento aprobadas a través del artículo 2° de la resolución conjunta 9/2019 de la Secretaría de Finanzas y de la Secretaría de Hacienda, que no podrá superar el monto de valor nominal original pesos cuatro billones (VNO $ 4.000.000.000.000).

ARTÍCULO 5º.- Dispónese la ampliación de la emisión del “Bono del Tesoro Nacional Capitalizable en pesos con vencimiento 30 de abril de 2027”, emitido originalmente mediante el artículo 2° de la resolución conjunta 54 del 29 de octubre de 2025 de la Secretaría de Finanzas y de la Secretaría de Hacienda, ambas del Ministerio de Economía (RESFC-2025-54-APN-SH#MEC), por hasta la suma de valor nominal original necesaria para cubrir la demanda en el proceso de licitación que se realizará el día 5 de noviembre del corriente año, en el marco de las normas de procedimiento aprobadas a través del artículo 2° de la resolución conjunta 9/2019 de la Secretaría de Finanzas y de la Secretaría de Hacienda, que no podrá superar el monto de valor nominal original pesos cuatro billones novecientos mil millones (VNO $ 4.900.000.000.000).

ARTÍCULO 6º.- Dispónese la ampliación de la emisión de la “Letra del Tesoro Nacional vinculada al dólar estadounidense cero cupón con vencimiento 30 de abril de 2026”, emitida originalmente mediante el artículo 3° de la resolución conjunta 47 del 26 de septiembre de 2025 de la Secretaría de Finanzas y de la Secretaría de Hacienda, ambas del Ministerio de Economía (RESFC-2025-47-APN-SH#MEC) por hasta la suma de valor nominal original necesaria para cubrir la demanda en el proceso de licitación que se realizará el día 5 de noviembre del corriente año, en el marco de las normas de procedimiento aprobadas a través del artículo 2° de la resolución conjunta 9/2019 de la Secretaría de Finanzas y de la Secretaría de Hacienda, que no podrá superar el monto de valor nominal original dólares estadounidenses tres mil quinientos millones (VNO USD 3.500.000.000).

ARTÍCULO 7º.- Autorízase a las/los titulares de la Oficina Nacional de Crédito Público, o de la Dirección de Administración de la Deuda Pública, o de la Dirección de Operaciones de Crédito Público, o de la Dirección de Programación e Información Financiera, o de la Dirección de Análisis del Financiamiento, o de la Coordinación de Títulos Públicos, o de la Coordinación de Emisión de Deuda Interna, a suscribir en forma indistinta la documentación necesaria para la implementación de las operaciones dispuestas en los artículos 1º a 6° de esta resolución.

ARTÍCULO 8º.- Esta medida entrará en vigencia a partir del día de su dictado.

ARTÍCULO 9º.- Comuníquese, publíquese, dese a la Dirección Nacional del Registro Oficial y archívese.

Alejandro Daniel Lew - Carlos Jorge Guberman

e. 07/11/2025 N° 84401/25 v. 07/11/2025